九六参考网www.96flw.com
  • 首页
  • 代数
  • 图像
  • 矩阵
  • 数字
  • 平面几何
  • 立体几何
  • 三角函数
  • 解析几何
  • 日期时间
  • 颜色
  • 进制
  • 物理
  • 电子电路
  • Html
  • 健康
  • 生活

求和计算器(平方和 立方和等)

选择所求和形式 (K) = ∑
想求和的项数(n) =
 
结果(∑) =

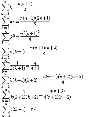
公式:

speical-series

推荐
全能计算网
资源星球 VIP音乐在线免费解析 VIP电影在线免费解析

热门工具推荐

二手房_新房购房交易税费计算器
五次多项式除法计算器
正方形面积、周长、对角线长计算器
两直线间最短距离计算器

热门工具

  • 网站首页
  • 代数计算
  • 图像计算
  • 矩阵计算
  • 数字计算
  • 平面几何
  • 立体几何
  • 三角函数
  • 解析几何
  • 日期时间
  • 颜色计算
  • 进制计算
  • 物理计算
  • 电子电路
  • Html工具
  • 健康计算
  • 八字计算
  • 税费计算

Copyright © 2010-2025 全能计算网 | 站点地图 | 站点目录