搜索
首页
代数
图像
矩阵
数字
平面几何
立体几何
三角函数
解析几何
日期时间
颜色
进制
物理
电子电路
Html
健康
生活
2x2矩阵加法 减法计算器
矩阵 A =
矩阵 B =
结果:
A + B =
A - B =
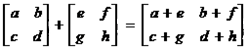
二阶矩阵加法公式
二阶矩阵减法公式
推荐
全能计算网
资源星球
VIP音乐在线免费解析
VIP电影在线免费解析
热门工具推荐
e的x次方计算器
五次方根在线计算器
梯形周长在线计算器
成年人BMI自测
热门工具
网站首页
代数计算
图像计算
矩阵计算
数字计算
平面几何
立体几何
三角函数
解析几何
日期时间
颜色计算
进制计算
物理计算
电子电路
Html工具
健康计算
八字计算
税费计算